Logo  


Partner area


 
  HOME About us Technologies Services Consulting Business Development
 

 

 

 

 

 

 

 

Technology



Events

Discovery & Development Europe 2025: Formulation & Drug Delivery Congress
July 1-2, 2025
Basel, Switzerland

Invited lecture:
Oral Delivery Of Peptide And Protein Drugs – Oral Delivery of GLP-1 Analogues

Prof. Dr. A. Bernkop-Schnürch
more...



8th European Cyclodextrin Conference
September 9-12, 2025
Milano, Italy

Invited lecture:
Thiolated Cyclodextrins in Drug Delivery

Prof. Dr. A. Bernkop-Schnürch
more...




 

 

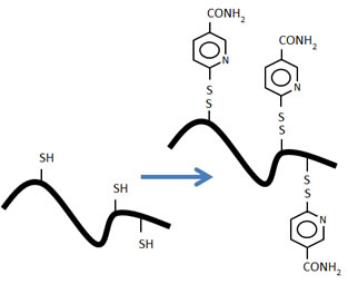
Preactivated thiomersWhen even higher mucoadhesive properties are needed, thiomers can be preactivated by the covalent attachment of mercaptonicotinamide substructures via disulfide bonds.

MucoadhesionMucoadhesive properties of polyacrylic acid (PAA) and thiolated polyacrylic acid (thiolated PAA), for instance, were strongly improved by preactivation (preactivated thiolated PAA) [Iqbal, J., Shahnaz, G., Dünnhaupt, S., Müller, C., Hintzen, F. and Bernkop-Schnürch, A. (2012) Preactivated thiomers as mucoadhesive polymers for drug delivery. Biomaterials, 33, 1528]. Furthermore, mucoadhesive properties of chitosan were 7-fold increased by thiolation and even 14-fold improved when this thiolated polymer was additionally preactivated [Dünnhaupt, S., Barthelmes, J., Thurner, C.C., Waldner, C., Sakloetsakun, D. and Bernkop-Schnürch A. (2012) S-protected thiolated chitosan: synthesis and in vitro characterization. Carbohydr. Polym., 90, 765].

 

 

Mucoadhesion


As the uptake of most drugs from mucosal membranes is controlled by a passive diffusion process, it is essential to provide on the absorption membrane a concentration gradient as steep as possible representing the driving force for drug absorption. In order to achieve that goal the delivery system has to be kept as long as possible in intimate contact with the absorption membrane, which can be guaranteed by utilizing mucoadhesive drug delivery systems. The mucoadhesive properties of all so far used polymers, however, are quite insufficient in order to guarantee this effect. In contrast to these ‘conventional’ polymers, whose mucoadhesive properties are exclusively based on non-covalent bonds, thiolated polymers or designated thiomers are capable of forming covalent bonds with cysteine-rich subdomains of the mucus gel layer. The bridging structure most commonly utilized in biological systems - namely the disulfide bond - is thereby used.

These improved mucoadhesive properties of thiolated polymers were meanwhile verified for various polymers. Due to the immobilization of thiol groups the mucoadhesive properties of chitosan and poly(acrylic acid), for instance, were improved at least 140-fold [Bernkop-Schnürch, A., Hornof, M. and Zoidl, T. (2003) Thiolated polymers – thiomers: modification of chitosan with 2-iminothiolane, Int. J. Pharm., 260, 229] and 20-fold [Marschütz, M.K., and Bernkop-Schnürch, A. (2002) Thiolated polymers: Advance in mucoadhesion by use of in-situ crosslinking poly(acrylic acid)-cysteine conjugates. Eur. J. Pharm. Sci., 15, 387],respectively. The mucoadhesive properties of drug delivery systems based on thiomers were also demonstratedin human volunteers.


  News

Thiomatrix joined the EU-project TENTACLE (101191747) focusing on the use of thiomers for in situ bioprinting.
more....

 

Contact

 

Careers
Downloads
Site map

a



ThioMatrix Hotline:
+43 512 890046
Mo-Th 9.00-17.00
and Fr 9.00-14.00


Drucker Print this page

 

Download references about thiomers

 

 

 

 

     

© All rights reserved | Site map | Disclaimer | Imprint | Contact |

 

GR

TM